Получите информацию о товаре за одну минуту!
Система координат и положенияСистема AHRS (AHRS) — это ключевое навигационное устройство, использующее слияние данных от нескольких датчиков для расчета в реальном времени трехмерного положения (угла тангажа, угла крена) и угла курса носителя. Ее основные технологии охватывают такие области, как микроэлектромеханические системы (MEMS), инерциальная навигация, обработка сигналов и нелинейная оптимизация. В данной статье будут рассмотрены технические аспекты в трех измерениях: математические модели, реализация алгоритмов и компенсация ошибок.
Основной принцип AHRS — это слияние данных с нескольких датчиков, которое компенсирует ограничения одного датчика за счет использования дополнительных датчиков.
а. Гироскоп: Он измеряет угловую скорость, используя эффект Кориолиса, и интегрирует её для получения изменений ориентации, но при этом отсутствует дрейф смещения (накопленная ошибка во времени).
b. Акселерометр: измеряет удельную силу (ускорение свободного падения + ускорение движения) и может использоваться для калибровки ориентации (крен, тангаж) в статическом режиме или при постоянной скорости.
c. Магнитометр: измеряет направление геомагнитного поля, обеспечивает абсолютное определение курса (угол рыскания), но подвержен влиянию жестких/мягких магнитных помех.
d. Дополнительная функция GPS: помогает корректировать ошибки определения местоположения и скорости.
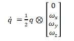
Дифференциальное уравнение для обновления угловой скорости и ориентации несущего корабля:
Среди них,
представляет собой умножение кватернионов и
— это угловая скорость, измеренная гироскопом (в рад/с).
Основная сложность AHRS заключается в интеграции данных от гироскопов (обладающих отличной динамической характеристикой, но дрейфом), акселерометров (обладающих высокой статической точностью, но подверженных влиянию движения) и магнитометров (обеспечивающих абсолютное определение курса, но подверженных влиянию помех). Основные алгоритмы следующие:
На основе модели пространства состояний ориентация оценивается итеративно посредством прогнозирования (интеграция данных с гироскопа) и обновления (наблюдения с помощью акселерометра/магнитометра).
Построение вектора состояния осуществляется следующим образом, включая угол ошибки ориентации.
и смещение гироскопа
.
В качестве значений наблюдений используются остаточные значения вектора гравитации, измеренные акселерометром, и геомагнитного поля, измеренные магнитометром, и строится следующее уравнение наблюдений:

При настройке ковариации используется ковариация шума.
Акселерометр обычно устанавливается на
и ковариация шума
магнитометр установлен на
.
Взвешенное слияние высокочастотных данных гироскопа и низкочастотных данных акселерометра/магнитометра. Его преимущество заключается в низкой вычислительной нагрузке и пригодности для встроенных систем; недостаток состоит в том, что настройка параметров зависит от опыта и имеет ограниченные динамические характеристики.
В высокочастотной части используется интеграция с гироскопом, а в низкочастотной калибровка — акселерометры/магнитометры.
постоянная времени
обычно занимает 
Существует два основных алгоритма оптимизации методом градиентного спуска. Алгоритм Махони основан на нелинейной комплементарной фильтрации с использованием кватернионов и корректирует смещение гироскопа с помощью ПИ-регулятора; алгоритм Мадгвика оптимизирует кватернионы напрямую, минимизируя функцию ошибки между измерениями датчика и прогнозами, что обеспечивает высокую вычислительную эффективность и пригодность для сценариев с низким энергопотреблением.
Среди них,
— это коэффициент скорости сходимости, типичные значения которого варьируются от 0,1 до 0,5.
Необходимо оценить и компенсировать нулевое смещение гироскопа в режиме реального времени (например, путем инициализации статического состояния); ускорение движения может нарушить измерение направления силы тяжести, поэтому динамические помехи от акселерометров необходимо обнаруживать с помощью высокочастотной фильтрации или обнаружения состояния движения;
Необходимо корректировать влияние изменений температуры на гироскопы и акселерометры путем создания модели температурной компенсации;
Для компенсации помех, создаваемых магнитометром, необходима жесткая/мягкая магнитная калибровка (подгонка эллипса или алгоритм, основанный на калибровочном поле).
Высокочастотная вибрация приводит к увеличению шума акселерометра, что требует механической изоляции или цифровой фильтрации. При выполнении быстрых маневров (например, при переворотах дрона) акселерометр выходит из строя, и для кратковременной работы требуется чистый гироскоп.
В условиях высокой динамики алгоритмы должны выполнять итерации за миллисекунды (например, циклы управления дронами).<10 мс). Встроенные платформы, такие как STM32, требуют оптимизации операций с плавающей запятой или использования обработки чисел с фиксированной запятой.
Для сбора данных с датчиков необходима строгая синхронизация по времени, иначе увеличится ошибка слияния. Необходимо компенсировать задержку передачи данных по интерфейсам связи (таким как SPI/I2C).
Система должна быстро сходиться во время запуска (например, путем инициализации акселерометра/магнитометра в стационарном состоянии). Конструкция системы должна быть устойчива к выбросам (например, к мгновенным помехам от магнитометров).
а. Слияние данных с использованием глубокого обучения: применение нейронных сетей для моделирования сложных ошибок и нелинейных характеристик.
б.Улучшение многоисточникового слияния данных: объединение данных визуального анализа (VIO), GNSS или барометра для повышения надежности в сложных условиях.
с.Прогресс в технологии MEMS: более точные малошумные гироскопы (например, оптические гироскопы MEMS) снизят нагрузку на алгоритмы.
г.Оптимизация граничных вычислений: легковесный алгоритм для встроенных чипов искусственного интеллекта (таких как ARM Cortex-M7).
Технологическая эволюция AHRS по сути представляет собой глубокое переплетение математики, физики и инженерной практики. От решения дифференциальных уравнений с кватернионами в реальном времени до подавления шума в MEMS-датчиках — каждая техническая деталь напрямую влияет на конечные характеристики системы. С улучшением возможностей граничных вычислений и повышением практической применимости высокоточные датчикиследующее поколение АХРС Это позволит достичь восприятия угловых вибраций на нанометровом уровне и полностью автономной защиты от помех, что обеспечит беспилотным системам космическую когнитивную точность, превосходящую человеческую.
Xml политика конфиденциальности блог Карта сайта
Авторское право
@ Микро-Магия Инк Все права защищены.
ПОДДЕРЖИВАЕМАЯ СЕТЬ